Der Mathe-Thread

Alles was du hier postest, kann und wird gegen dich verwendet werden.

Moderator: Moderator

Benutzeravatar
keko
Admin-Emu
Beiträge: 23558
Registriert: 21 Jun 2004 12:00
Has thanked: 1 time

Re: Der Mathe-Thread

Beitrag von keko »

HansM hat geschrieben:https://www.spektrum.de/kolumne/uneindeutige-dezimaldarstellung-ist-0-999-gleich-1/1996561?utm_source=pocket-newtab-global-de-DE

Da steht:

"Man hat damit eine eindeutige Lücke auf dem Zahlenstrahl lokalisiert."

Also ich halte diese Aussage für falsch. Es gibt keine "eindeutige" Lücke, also kein "eindeutig" in der Nomenklatur der Mathematik. Die Lücke ist unendlich klein und damit nicht existent, würde ich jetzt sagen.

Was denkt ihr ?
Das mit dem 1/3 x 3 = 1 kenne ich noch aus dem Fach Zahlentheorie. Da macht man solche Sachen.

Spontan hätte ich geantwortet, dass es auf die Betrachtungsweise angkommt. In der Analysis, wo der Begriff Grenzwert allgegenwärtig ist, würde ich sagen, dass 0.9999999 gleich 1 ist.
Aus der Zahlentheorie heraus würde ich das Gegenteil sagen, also 0.999999999 != 1.

Ich muss bei Gelegenheit mal meinen Chef fragen. Er ist Dr. Math. und hat in diesem Umfeld (Es gibt eine unendliche Anzahl Mengen unendlicher Mengen) seinen Doktorarbeit geschrieben.
Die Muße ist die Schwester der Freiheit.
https://sifiman.kkessler.de
Benutzeravatar
keko
Admin-Emu
Beiträge: 23558
Registriert: 21 Jun 2004 12:00
Has thanked: 1 time

Re: Der Mathe-Thread

Beitrag von keko »

Wer kann´s? :bein-godik
Dateianhänge
0.13.1+2.jpg
Die Muße ist die Schwester der Freiheit.
https://sifiman.kkessler.de
Benutzeravatar
runningmaus
Die Emu-Maus
Beiträge: 9136
Registriert: 14 Jun 2010 08:56
Wohnort: Mainspitze

Re: Der Mathe-Thread

Beitrag von runningmaus »

Hui, ist das lange her.


Wenn es für n gilt, so ist zu zeigen, dass es auch für n+1 gilt, damit der Ausdruck richtig ist .....
Dazu n+1 einsetzen (auf beiden Seiten) und morgen dann auflösen.... ;)

:tomtiger
Leidenschaft meistert jede Krise. Est-ce qu'il sont fous, les français?
aktuell 2023 - und Spaß
und was davor geschah... runningmaus 2012: Kopf hoch!
Benutzeravatar
Flow
Capoeira Emu
Beiträge: 9144
Registriert: 19 Feb 2006 12:00

Re: Der Mathe-Thread

Beitrag von Flow »

keko hat geschrieben:Wer kann´s? :bein-godik
Ich ... :blue
versteckter Inhalt:
Wo ist das LaTeX-tool ... ? :???:

:newwer
Benutzeravatar
keko
Admin-Emu
Beiträge: 23558
Registriert: 21 Jun 2004 12:00
Has thanked: 1 time

Re: Der Mathe-Thread

Beitrag von keko »

Mein unglaubliches Talent spricht sich wohl rum. Demnächst helfe ich einer Kursstufe an einem anderen Gymnasium. :cheer
Die Muße ist die Schwester der Freiheit.
https://sifiman.kkessler.de
Benutzeravatar
runningmaus
Die Emu-Maus
Beiträge: 9136
Registriert: 14 Jun 2010 08:56
Wohnort: Mainspitze

Re: Der Mathe-Thread

Beitrag von runningmaus »

0.13.2
0.13.2-induktion.JPG
Leidenschaft meistert jede Krise. Est-ce qu'il sont fous, les français?
aktuell 2023 - und Spaß
und was davor geschah... runningmaus 2012: Kopf hoch!
Benutzeravatar
keko
Admin-Emu
Beiträge: 23558
Registriert: 21 Jun 2004 12:00
Has thanked: 1 time

Re: Der Mathe-Thread

Beitrag von keko »

runningmaus hat geschrieben:0.13.2
Der Dateianhang 0.13.2-induktion.JPG existiert nicht mehr.
Hast du das gemacht oder gibt es das im Internet? :oops:

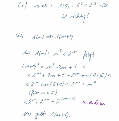
Hier ist meine Lösung:
Dateianhänge
2022-03-30.jpg
Die Muße ist die Schwester der Freiheit.
https://sifiman.kkessler.de
Benutzeravatar
runningmaus
Die Emu-Maus
Beiträge: 9136
Registriert: 14 Jun 2010 08:56
Wohnort: Mainspitze

Re: Der Mathe-Thread

Beitrag von runningmaus »

Das gibt es im internet.... :censored

meine Beweisfähigkeiten waren doch mehr eingerostet, als ich dachte.... :lol:

früher mochte ich das, und konnte es auch ordentlich...
Leidenschaft meistert jede Krise. Est-ce qu'il sont fous, les français?
aktuell 2023 - und Spaß
und was davor geschah... runningmaus 2012: Kopf hoch!
Benutzeravatar
keko
Admin-Emu
Beiträge: 23558
Registriert: 21 Jun 2004 12:00
Has thanked: 1 time

Re: Der Mathe-Thread

Beitrag von keko »

runningmaus hat geschrieben:Das gibt es im internet.... :censored

meine Beweisfähigkeiten waren doch mehr eingerostet, als ich dachte.... :lol:

früher mochte ich das, und konnte es auch ordentlich...
Ich mache das auch sehr gerne. Je abstrakter und formaler, desto lieber ist es mir.
Die Aufgabe stammt aus einer Mathe-Vorlesung von vor 30 Jahren. Ich habe sie kürzlich mit einem Studenten gemacht. Ist dann wohl eine Standard-Aufgabe, wenn man sie im Internet findet :keko
Die Muße ist die Schwester der Freiheit.
https://sifiman.kkessler.de
Benutzeravatar
runningmaus
Die Emu-Maus
Beiträge: 9136
Registriert: 14 Jun 2010 08:56
Wohnort: Mainspitze

Re: Der Mathe-Thread

Beitrag von runningmaus »

also, diese eine Aufgabe hatte ich gefunden, ...
die andere noch nicht gesucht.... ;)

Leider ergab mein erster Versuch, es aufzulösen, daß die andere nicht stimmt! :roll:
... und dann hatte ich was anderes vor... :lol:
:blush
Leidenschaft meistert jede Krise. Est-ce qu'il sont fous, les français?
aktuell 2023 - und Spaß
und was davor geschah... runningmaus 2012: Kopf hoch!
Benutzeravatar
keko
Admin-Emu
Beiträge: 23558
Registriert: 21 Jun 2004 12:00
Has thanked: 1 time

Re: Der Mathe-Thread

Beitrag von keko »

Ich habe mich heute an der Dualen Hochschule in Stuttgart als Lehrbeauftragter beworben. Ein Student erzählte mir kürzlich, dass sie immer "irgendwelche Leute" suchen und da fühlte ich mich direkt angesprochen. :laugh: Beworben habe ich mich für Mathematik (Ana+LA) und Programmierung (C#/.Net). Vorher hatte ich eine mir sehr nahestehenden Person um Rat gefragt, die spontan meinte - ohne dass sie versteht, um was es da genau geht - dass ich das machen könnte. Da ich ihr in solchen Dingen blind vertrauen kann, war das der Startschuß :apanasana
Die Muße ist die Schwester der Freiheit.
https://sifiman.kkessler.de
Benutzeravatar
Thorsten
Das Jever-Emu
Beiträge: 11735
Registriert: 27 Apr 2005 12:00
Wohnort: In de Hel van Kasterlee

Re: Der Mathe-Thread

Beitrag von Thorsten »

Reduzierst du für deine neuen Tätigkeiten die deinem Arbeitgeber vertraglich geschuldete Zeit? Ich meine, sonst bleibt ja irgendwann das Wölkchen beobachten auf der Strecke ;).
Die meisten Radwegbeschilderungen wurden von Aliens erschaffen.
Sie wollen erforschen, wie Menschen in absurden Situationen reagieren.
Benutzeravatar
keko
Admin-Emu
Beiträge: 23558
Registriert: 21 Jun 2004 12:00
Has thanked: 1 time

Re: Der Mathe-Thread

Beitrag von keko »

Thorsten hat geschrieben:Reduzierst du für deine neuen Tätigkeiten die deinem Arbeitgeber vertraglich geschuldete Zeit? Ich meine, sonst bleibt ja irgendwann das Wölkchen beobachten auf der Strecke ;).
Nein, im Moment packe ich das oben drauf. Wegen HomeOffice bin ich ja sehr flexibel und es sind auch nur wenige Stunden.
Mittelfristig würde ich gern ein wenig umsatteln, also weniger normale Erwerbstätigkeit und mehr Schule und Hochschule. Letzteres wird schlechter bezahlt, aber das kann ich verkraften, weil ich ja aus dem gröbsten raus bin. Für die Sachen am Gymi habe ich ja einen Arbeitsvertrag mit dem Land BaWü, zählt also auch für die Rente. Wenn ich letzters ausbauen kann, würde ich sofort Stunden reduzieren.
Die Muße ist die Schwester der Freiheit.
https://sifiman.kkessler.de
Benutzeravatar
keko
Admin-Emu
Beiträge: 23558
Registriert: 21 Jun 2004 12:00
Has thanked: 1 time

Re: Der Mathe-Thread

Beitrag von keko »

keko hat geschrieben:Ich habe mich heute an der Dualen Hochschule in Stuttgart als Lehrbeauftragter beworben. Ein Student erzählte mir kürzlich, dass sie immer "irgendwelche Leute" suchen und da fühlte ich mich direkt angesprochen. :laugh: Beworben habe ich mich für Mathematik (Ana+LA) und Programmierung (C#/.Net). Vorher hatte ich eine mir sehr nahestehenden Person um Rat gefragt, die spontan meinte - ohne dass sie versteht, um was es da genau geht - dass ich das machen könnte. Da ich ihr in solchen Dingen blind vertrauen kann, war das der Startschuß :apanasana
Ich habe eine Einladung von der Hochschule in Stuttgart bekommen. Scheinbar geht es um Analysis (Übungen?).
Würde mich total freuen, wenn ich mit Informatik-Studenten ein bisschen Mathe machen dürfte. Hoffentlich klappt es!! :)
Die Muße ist die Schwester der Freiheit.
https://sifiman.kkessler.de
Benutzeravatar
keko
Admin-Emu
Beiträge: 23558
Registriert: 21 Jun 2004 12:00
Has thanked: 1 time

Re: Der Mathe-Thread

Beitrag von keko »

keko hat geschrieben:...
Ich habe eine Einladung von der Hochschule in Stuttgart bekommen. Scheinbar geht es um Analysis (Übungen?).
Würde mich total freuen, wenn ich mit Informatik-Studenten ein bisschen Mathe machen dürfte. Hoffentlich klappt es!! :)
Sieht gut aus: ab September halte ich wohl eine wöchentliche Analysis-Vorlesung :cheer :bse
Die Muße ist die Schwester der Freiheit.
https://sifiman.kkessler.de
Antworten